【注意】实体京东E卡5月发货信息

2023-06-06 20:21   130   0  

因为抽奖小程序的调整(微信官方的接口调整,不然我才懒得抽京东卡,还要发快递麻烦死了),我们的抽奖方式从之前的金额抽奖换成了比较通用的京东E卡,会安排寄送实体京东E卡。


大家可能都不知道新的领奖流程,不清楚的朋友可以往下看,具体的操作流程放在下面了,非常简单。


0.发货时间


从开奖到填写地址,一共给到大家5天时间。


5天截止后,小程序会停止填写,并且把已有信息同步给我们,我们安排发货。


我们在收到地址(小程序截止后给我们)后我们会在每周一、三、五【工作日】安排发货,加上收货地址的远近,【从开奖到最终收货大概需要8—12天不等】,超过这个时间没有收到奖品的读者,可以后台回复“实体卡”或“奖品”,小助手会跟进奖品问题。


1.在哪里抽?


在每篇文章的结尾的最尾部,就是下图这个位置。



点进去之后,点参与抽奖就可以了。



参与成功,是这样的。



当然,大家在参与过之后,也欢迎多多给文章本身三连啊~感谢支持。


抽奖本身设置的是【不允许分享】,唯一的入口就是文章结尾的链接。


这是只给我们读者的【专属感谢】,非文章读者跟我们无关。


2.抽奖是每篇文章都有吗?


对的,每篇文章都有,而且每一个都是独立的。


【半佛仙人】有,【仙人JUMP】也有。


还没有关注【仙人JUMP】的朋友,也欢迎多多关注。



3.怎么一次性参与所有还没有开奖的活动


打开【半佛仙人】或者【仙人JUMP】账号


在后台点击最下方对话框回复【摸鱼】,即可获得所有进行中的抽奖链接(持续更新中),点开每条蓝链进入对应文章,滑到文章底部即可参与抽奖。



4、如何看到自己中奖,以及具体怎么操作领奖?


很多朋友不知道自己中没中,以及中了以后具体怎么操作才能领奖。


首先如果你成功中奖,可以在微信里的 【服务通知】中看到具体信息。



或者找到文章的结尾,点击抽奖链接进入小程序,也可查看中奖结果。


5、发卡小助手


对实体卡的快递有疑问的朋友,例如漏填资料,手机号填错,奖品发错之类的问题,可以在公众号后台输入“实体卡”或者“奖品”,添加小助手微信咨询。


注意,需要带中奖图以及验证中奖相关信息,不然无法确认身份。



领奖具体操作如下:


第一步,进入小程序,点击【立即领奖】去填写“收货地址”,这里需要注意!!!必须在开奖后的5天内填写好收货地址,超期小程序会关闭填写地址的通道,就等于放弃这次中奖机会了,后续将不安排发货。



第二步,进入【填写收货地址】的界面后,点击“请选择地址”,其他信息可以填写在“备注”一栏。



第三步,进入【我的地址】界面后,完成信息填写,并点击右上角【完成】。



第四步,完成地址后,点击下方【保存】,即完成所有操作。



【已填写收货地址】的朋友,我们会尽快为你安排发货。



是不是非常简单清晰了?


这里再提醒一下中奖的朋友!!!!一定要在开奖后的5天内填写好收货地址,超时视为主动放弃!


我从开始写公众号开始,就坚持给大家回馈,还是那个道理,没有大家我算个屁。


所以我应该回报大家,有来有回才是真正的长期关系。


感谢大家一直以来的支持,也期望多多关注【仙人JUMP】,多多阅读文章,一键三连。



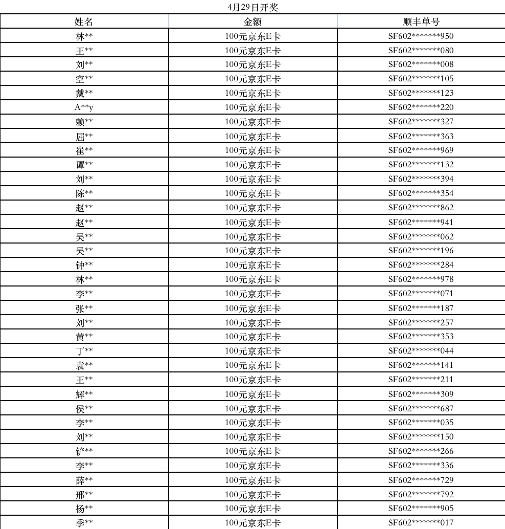
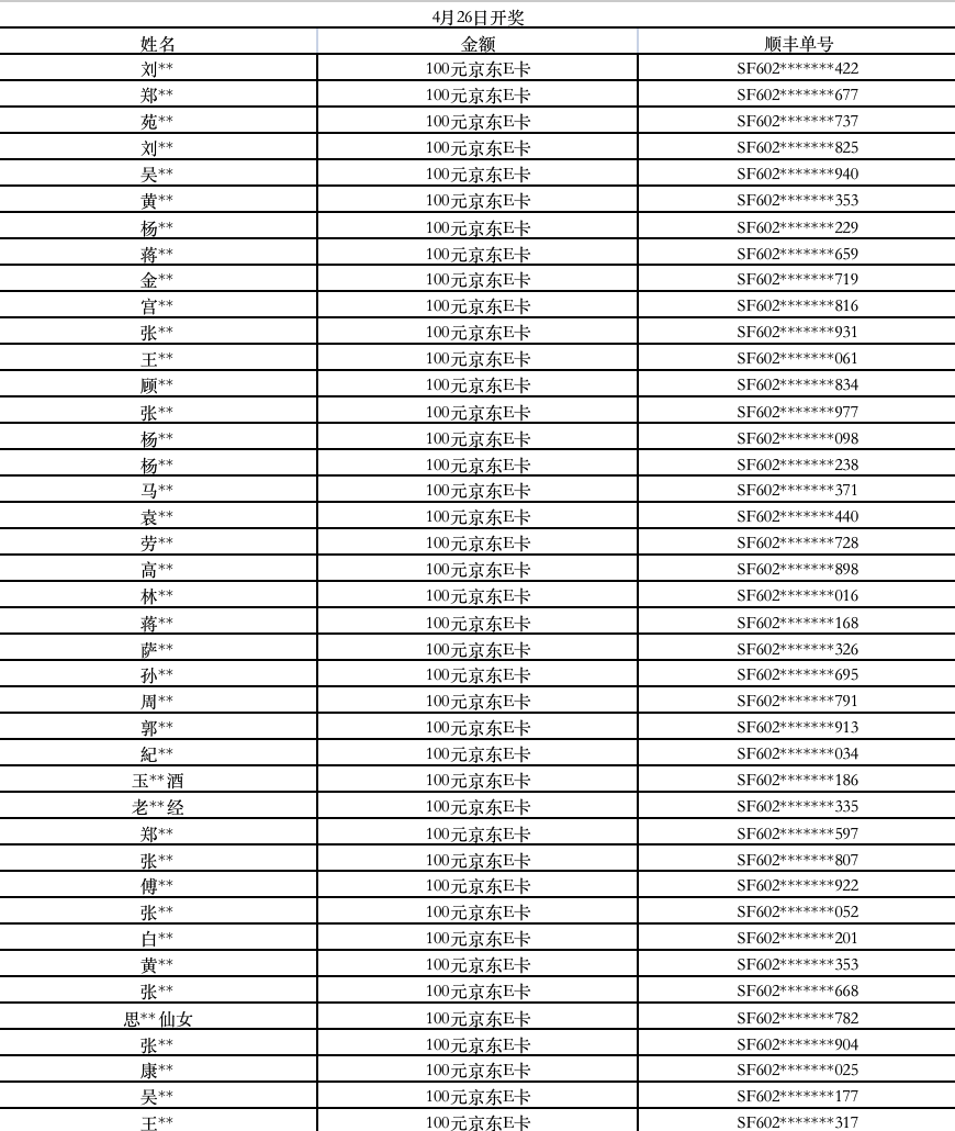
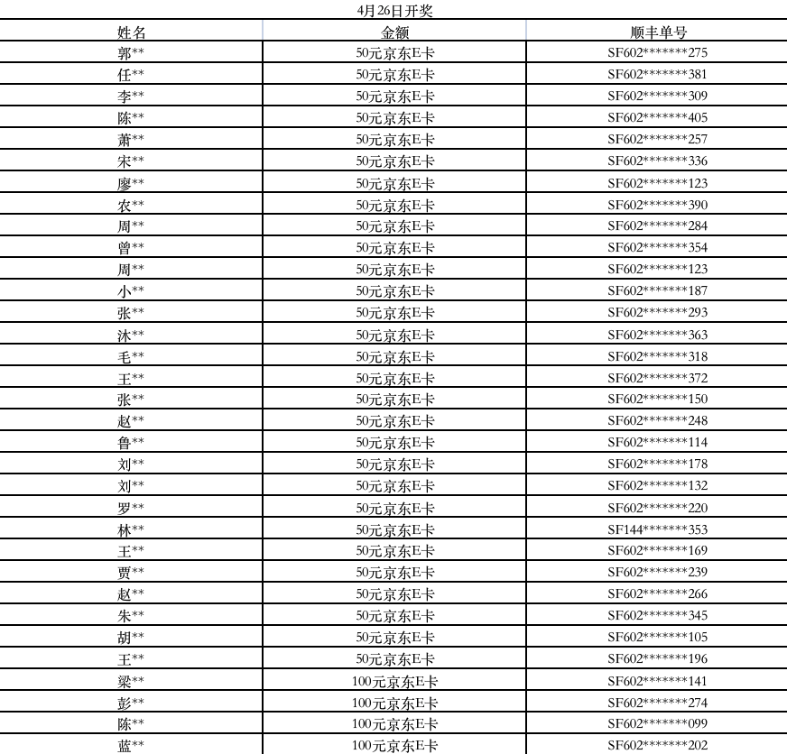
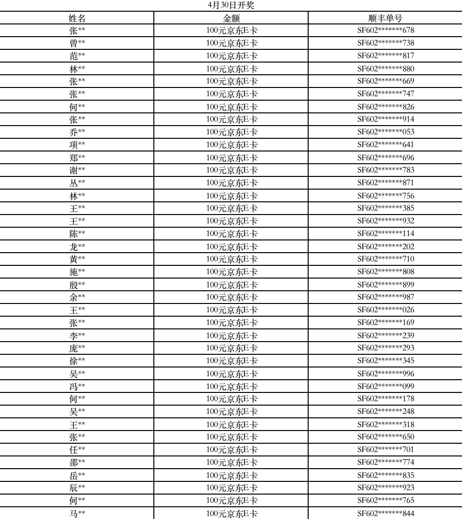
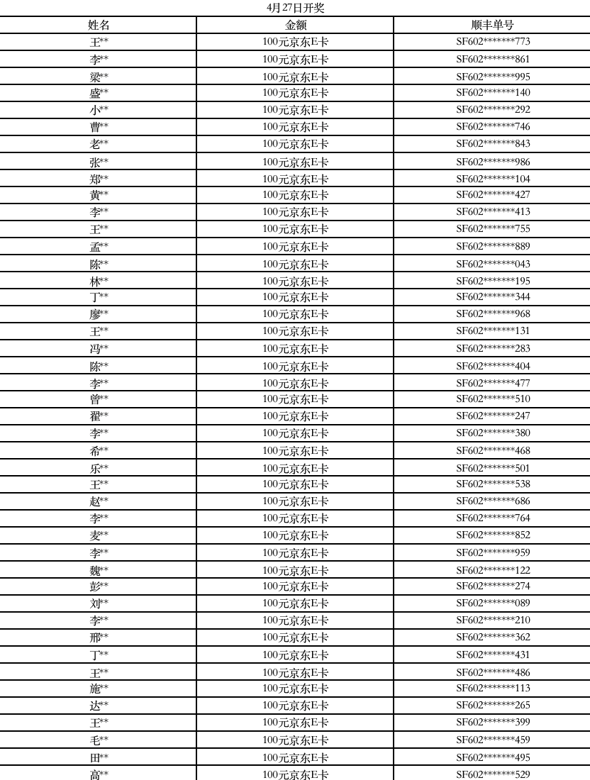
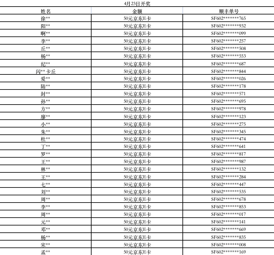
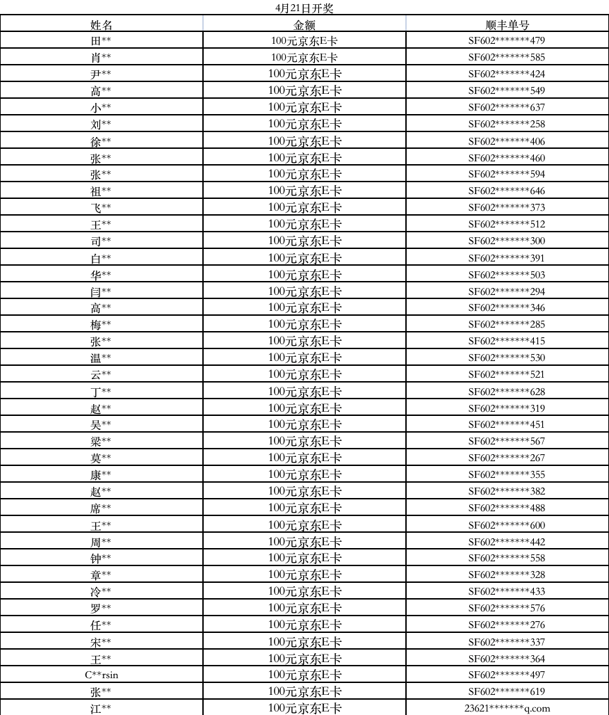
下面是公众【半佛仙人】以及【仙人JUMP】实体卡抽奖在4月21日至4月30日开奖的【已填写地址,已发货】的中奖名单:

向下滑动查看



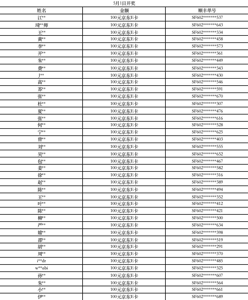
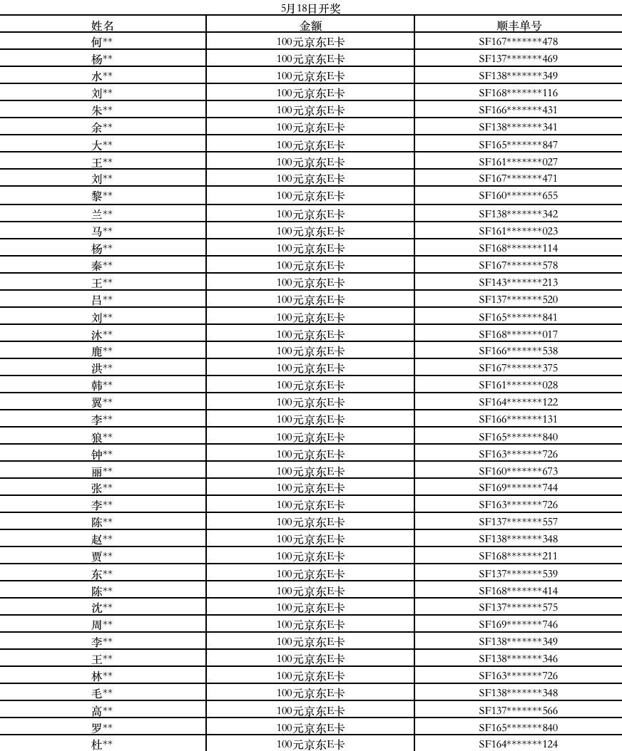
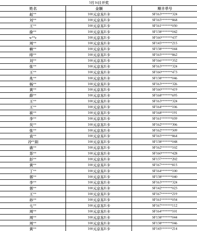
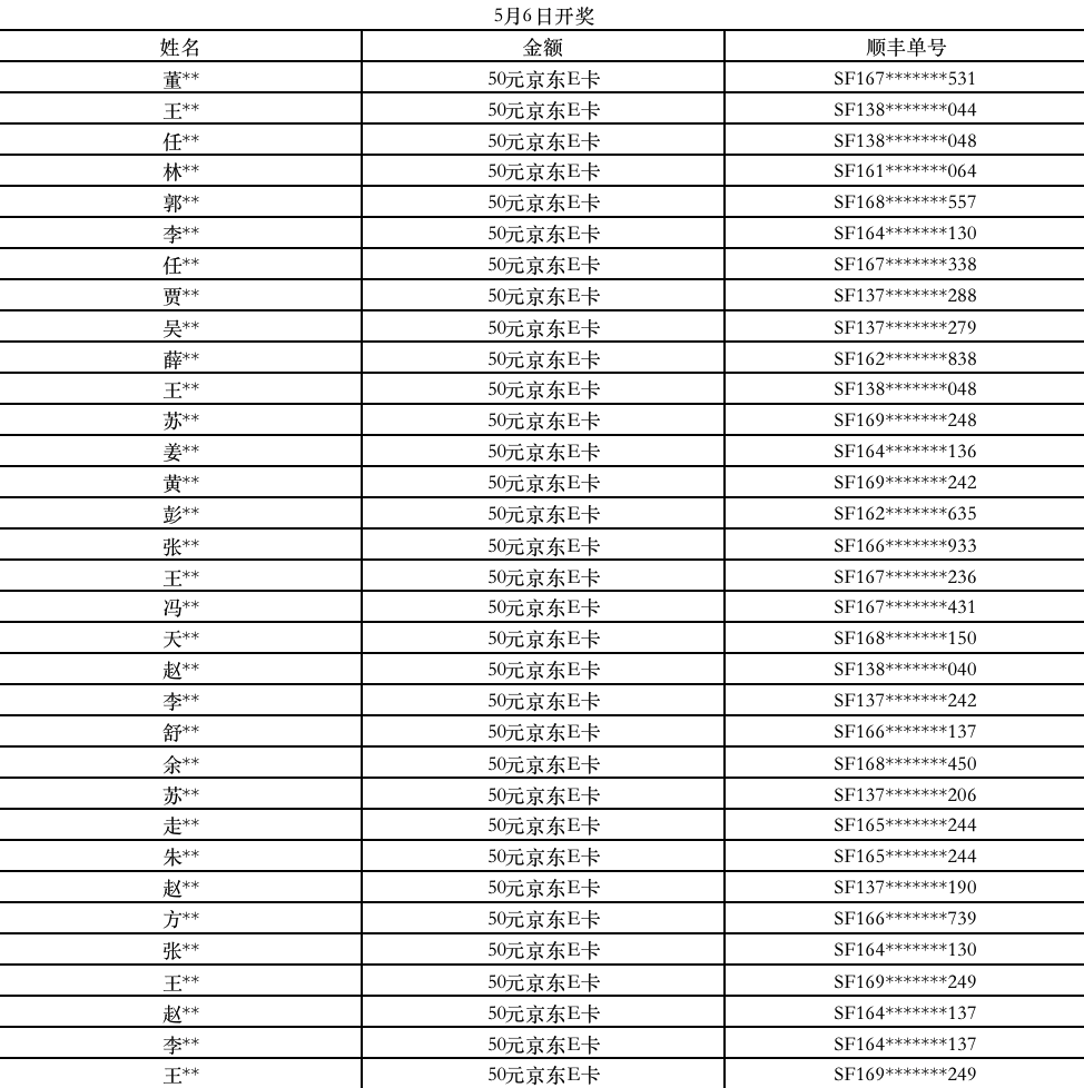
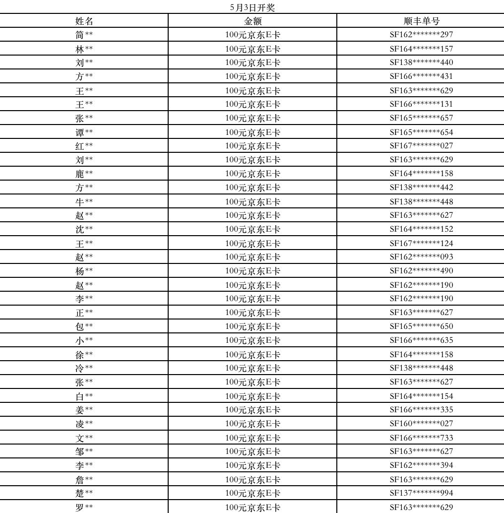
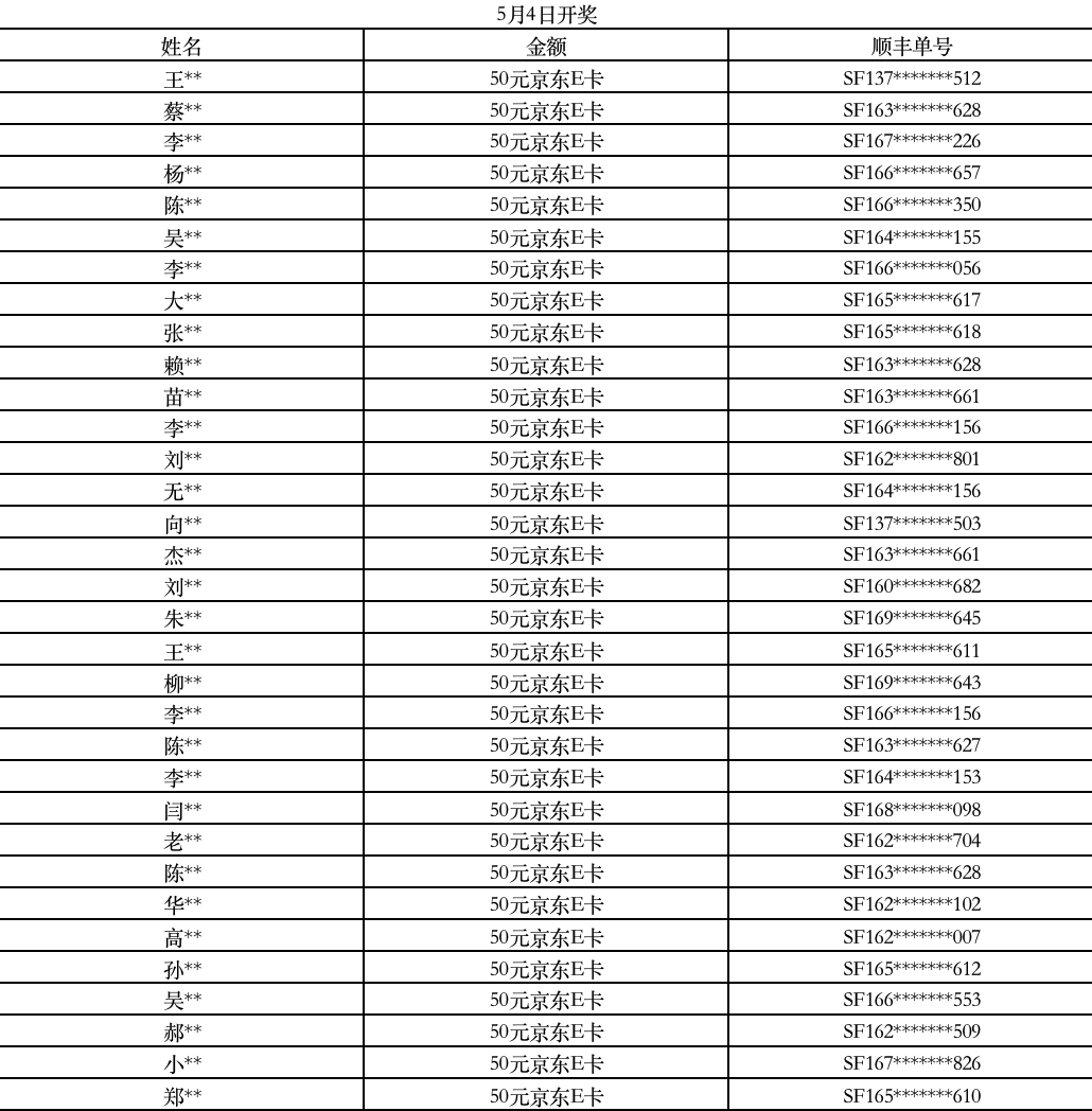
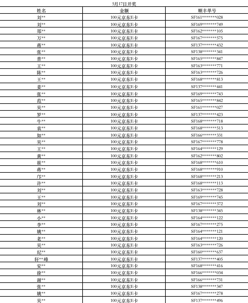
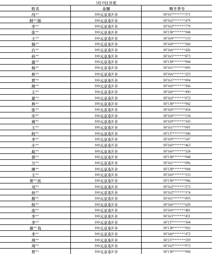
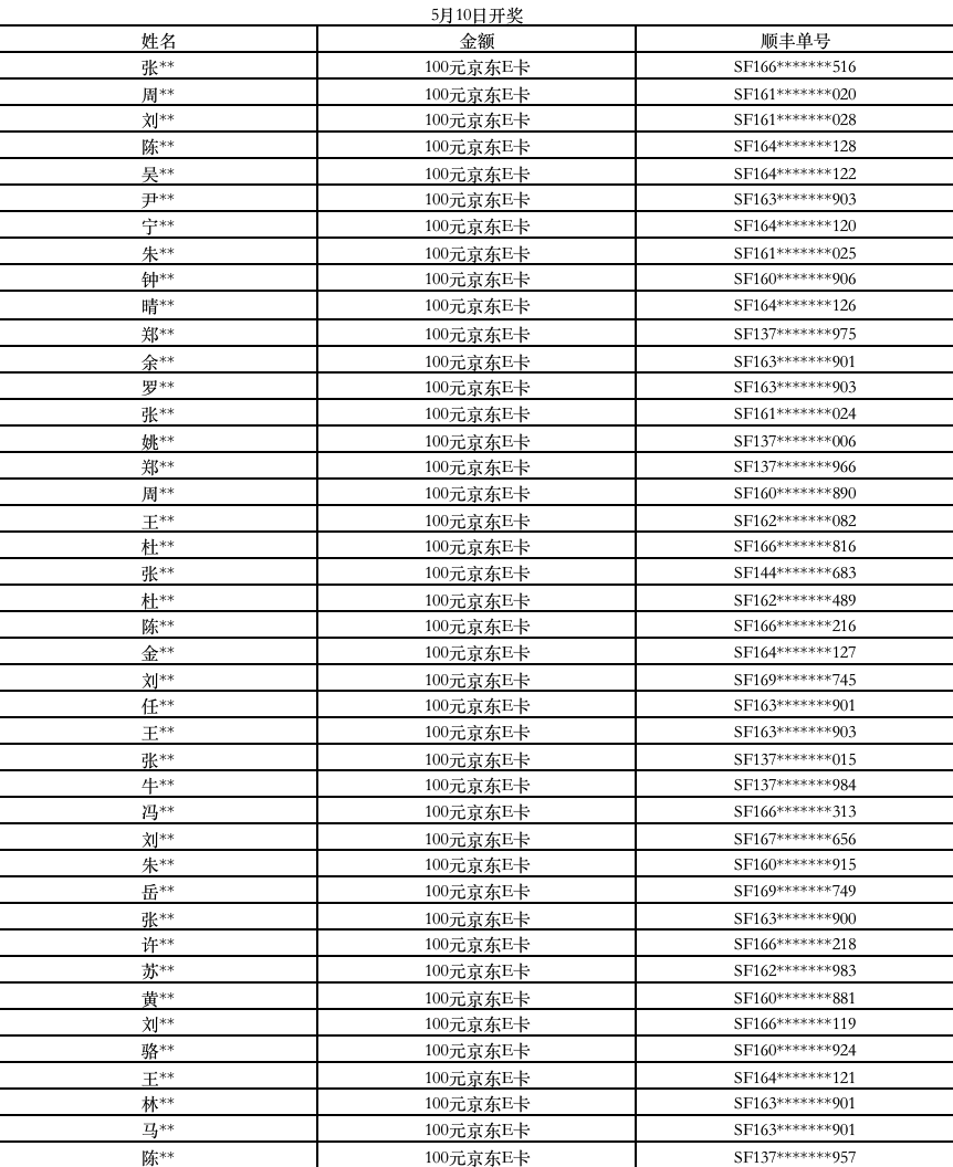
以下为5月1日至5月23日开奖的【已填写地址,已发货】的中奖名单:

向下滑动查看



以下是因为各种原因导致投递失败:


超期没有填写地址的朋友,不在以上的名单中,后续也不再安排发货了。

以后的每月月末我们都会在公众号的二条文章中进行公示,大家可以留意下微信的中奖提示,再次提醒中奖的朋友需要在开奖后的5天内填写好收货地址及信息,超期后小程序将关闭填写地址的通道,视为主动放弃此次中奖机会,后续就不安排发货了,所以大家在收到中奖提示后要及时填写地址。


奖品我们会安排顺丰寄出,如需安排其他快递也可备注,中奖后的近期内请保持你填写的手机号通话畅通,避免奖品投递失败,再次感谢大家的支持。

文章引用微信公众号"半佛仙人",如有侵权,请联系管理员删除!

博客评论
还没有人评论,赶紧抢个沙发~
发表评论
说明:请文明发言,共建和谐网络,您的个人信息不会被公开显示。